1.1 - 系统关系

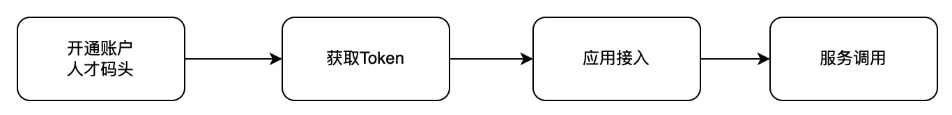
1.2 - 接入流程

1.3 - 接口规范
1.3.1 - 频控策略
- 所有接口限制每个最高频率 50 次/秒
1.3.2 - 认证 token
- 描述:获取企业下account_id账号对应的access_token,用于请求其他接口数据。 access_token 默认 24 小时 过期,refresh_token 默认 24 * 7 小时 过期
1.3.3 - 获取token
- 接口:/open-apis/auth/v1/app-access-token/internal
- 方法:GET
- 请求头:application/json; charset=utf-8
- 描述:获取企业下account_id账号对应的access_token,用于请求其他接口数据
- 请求参数
{
"app_key": "rcmt_id1",
"expires": 1649819247,
"signature": "2F014C6A34C0ECFB522E2D52DF51B2BAAF97944EF9A2901115AB9912E59ACD35"
}
- 参数说明
| 参数 | 类型 | 举例 | 备注 |
|---|---|---|---|
| app_key | string | rcmt_id1 | 应用唯一标识,由人才码头运营创建 |
| expires | string | 1649819247 | 当前时间+60秒的10位时间戳 // 60s 过期 |
| signature | string | 2F014C6A34C0ECFB522E2D52DF51B2BA AF97944EF9A2901115AB9912E59ACD35 | 签名 |
1.3.4 - 签名方法
- 描述:对app_key,expires,app_secret 基于sha256 加密
- 示例代码「php」:
class Signature
{
/*
* @param $path:去除根域名后的相对路径,这里的 $path 需要带上 '/'
* @param $parameters: 接口传递参数,需要除开「expires, signature 」这2个参数
* @param $secret:秘钥
* @param $delay:过期时间,不要设置太长,否则会有一定的安全隐患
*/
public static function sign($path, $parameters = [], $secret, $delay = 60)
{
$expiration = Carbon::now()->addRealSeconds($delay)->getTimestamp();
$parameters['expires'] = $expiration;
ksort($parameters);
$signature = static::hash($path, $parameters, $secret, false);
$parameters['signature'] = $signature;
return $parameters;
}
public static function hash($path, $parameters, $secret, $sort = true)
{
if ($sort) {
ksort($parameters);
}
$original = sprintf('/%s?%s', trim($path, '/'), Arr::query($parameters));
return hash_hmac('sha256', $original, $secret);
}
}
- 示例代码「java」:
public static final String SIGNATURE = "signature";
public static final String EXPIRES = "expires";
/**
* url:去除根域名后的相对路径,注意传入的路径最前面需要带上 '/',否则会导致签名失败
* 时间戳:需要转换为'秒'再加入到map
* kSort():注意生成后的参数是否是按照字母顺序排序的
*/
public static void adaptSignature(String secretKey,String url, Map<String, String> map) {
String currentTimeMills = (System.currentTimeMillis() + 60 * 1000)/1000 + "";
map.put(EXPIRES, currentTimeMills);
String signStr = kSort(map);
String encodeUrl = String.format("%s?%s", url, signStr);
String signature = sha256_HMAC(encodeUrl, secretKey).toLowerCase();
map.put(SIGNATURE, signature);
}
public static String kSort(Map<String, String> map) {
StringBuilder sb = new StringBuilder();
String[] key = new String[map.size()];
int index = 0;
for (String k : map.keySet()) {
key[index] = k;
index++;
}
Arrays.sort(key);
for (String s : key) {
sb.append(s).append("=").append(map.get(s)).append("&");
}
sb = new StringBuilder(sb.substring(0, sb.length() - 1));
sb = new StringBuilder(URLEncoder.encode(sb.toString(), "UTF-8"));
sb = new StringBuilder(sb.toString()
.replace("%3D", "=")
.replace("%26", "&")
.replaceAll("\\+", "%20")
);
return sb.toString();
}
public static String sha256_HMAC(String data, String secret) {
Mac sha256HMAC = Mac.getInstance("HmacSHA256");
SecretKeySpec secret_key = new SecretKeySpec(secret.getBytes(), "HmacSHA256");
sha256HMAC.init(secret_key);
return byteArrayToHexString(sha256HMAC.doFinal(data.getBytes())).toLowerCase();
}
private static String byteArrayToHexString(byte[] b) {
StringBuilder resultSb = new StringBuilder();
for (byte value : b) {
resultSb.append(byteToHexString(value));
}
return resultSb.toString();
}
private static String byteToHexString(byte b) {
int n = b;
if (n < 0) {
n = 256 + n;
}
int d1 = n / 16;
int d2 = n % 16;
return hexDigits[d1] + hexDigits[d2];
}
private final static String[] hexDigits = {"0", "1", "2", "3", "4", "5", "6", "7", "8", "9", "A", "B", "C", "D",
"E", "F"};
// 备注:1、考虑对特殊json包含空格、等号、&符号等进行转义 2、requestBody也要进行转义
- 返回值
{
"data": {
"access_token": "234243xwer134",
// 用户接口鉴权
"refresh_token": "eyJhcHBLZXkiOiIxMjM0",
//刷新token
"expire": 86400
// 过期秒数
},
"msg": "success",
"error_code": 0
}
1.3.5 - 刷新token
- 接口:/open-apis/auth/v1/app-access-token/refresh
- 方法:GET
- 请求头:application/json; charset=utf-8
- 描述:根据
refresh_token获取新的有效token - 请求参数
| 参数 | 类型 | 举例 | 备注 |
|---|---|---|---|
| refresh_token | string | eyJhcHBLZXkiOiIxMjM0 | 由3.2.1 获取token时获得 |
- 返回值
{
"data": {
"access_token": "234243xwer134",
// 用户接口鉴权
"refresh_token": "eyJhcHBLZXkiOiIxMjM0",
//刷新token
"expire": 7140
// 过期秒数
},
"msg": "success",
"error_code": 0
}
1.3.6 - 调试方式
- API调用时,需要将 access token 放入请求Header中,使用语法
Authorization:Bearer <access token>进行调用。下面是一个调用API查询企业标品-岗位-列表的示例,需要注意的是,示例中的 access_token 需要替换为有效的访问凭证(access token)。
$ curl --request GET 'https://open.rencaimatou.com/open-apis/company/v1/accounts/s232123/industry-jobs' \
--header 'Content-Type: application/json; charset=utf-8' \
--header 'Authorization:Bearer <实际的 access token>'